轴承配套
皮带输送、同步带传动、丝杆传动与链传动的电机功率计算与解析
在机械传动系统中,皮带输送、同步带传动、丝杆传动和链传动是常见的传动方式。准确计算这些传动方式所需的电机功率,对于合理选型电机、确保系统稳定运行以及提高能源利用效率至关重要。本文详细阐述了这四种传动方式的工作原理,并分别给出了电机功率的计算方法,同时结合实际案例进行分析,为工程应用提供全面的指导。
一、引言
电机作为机械系统的动力源,其功率的选择直接影响着整个系统的性能。功率过小,电机无法带动负载正常工作;功率过大,则会造成能源浪费和成本增加。在皮带输送、同步带传动、丝杆传动和链传动等不同的传动形式中,由于工作原理和负载特性的差异,电机功率的计算方法也各不相同。因此,深入了解和掌握这些计算方法,对于机械设计和工程应用具有重要的现实意义。
二、皮带输送的电机功率计算
(一)工作原理
皮带输送是利用皮带作为牵引和承载构件,通过皮带与带轮之间的摩擦力来传递动力,实现物料或工件的输送。它具有结构简单、运行平稳、可实现长距离输送等优点,广泛应用于矿山、冶金、化工、物流等行业。

二)功率计算方法
皮带输送所需电机功率主要考虑克服输送带的运行阻力,其计算公式为:

其中:
• P为电机功率(kW);

(三)实际案例
某矿山皮带输送机,输送长度L=200m,输送带速度v=2m/s,单位长度物料重量q=30kg/m,单位长度输送带重量qd=15kg/m,模拟摩擦系数f=0.03f,提升高度H=10m,传动效率η=0.9。

三、同步带传动的电机功率计算
(一)工作原理
同步带传动是通过同步带上的齿与带轮上的齿槽相啮合来传递运动和动力的一种传动方式。它具有传动比准确、传动效率高、结构紧凑等优点,常用于需要精确传动和高速运转的场合,如数控机床、打印机、纺织机械等。

(二)功率计算方法
同步带传动所需电机功率主要考虑克服工作负载产生的扭矩,其计算公式为。

(三)实际案例
某数控机床的同步带传动系统,工作负载扭矩T=10N⋅m,电机转速n==1500r/min,传动效率η=0.92。
四、丝杆传动的电机功率计算
(一)工作原理
丝杆传动是将旋转运动转化为直线运动的一种传动方式,主要由丝杆、螺母和机架组成。通过丝杆的旋转,带动螺母沿丝杆轴向做直线运动,广泛应用于机床进给系统、自动化设备等领域。

(二)功率计算方法
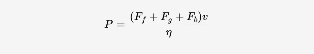
丝杆传动所需电机功率主要考虑克服负载力和摩擦力,其计算公式为:

(三)实际案例

五、链传动的电机功率计算
(一)工作原理
链传动是通过链条与链轮的啮合来传递运动和动力的一种传动方式。它具有平均传动比准确、传动效率高、可在高温和恶劣环境下工作等优点,常用于摩托车、自行车、运输机械等。

(二)功率计算方法
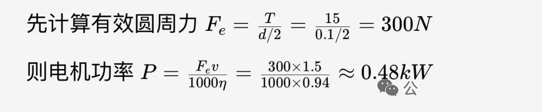
链传动所需电机功率主要考虑克服链传动的有效圆周力和摩擦损失,其计算公式为:

(三)实际案例
某运输机械的链传动系统,负载扭矩T=15N⋅m,链轮分度圆直径d=0.1m,链速v=1.5m/s,传动效率η=0.94。

六、结论
皮带输送、同步带传动、丝杆传动和链传动的电机功率计算方法各有特点,但都基于对传动系统负载特性的分析。在实际工程应用中,需要准确确定各种传动方式的负载参数,如阻力、扭矩、力等,并合理选择传动效率等参数,才能准确计算出所需的电机功率。同时,考虑到实际运行中的各种不确定因素,如启动冲击、过载等,在选择电机时通常需要留有一定的功率余量。通过正确计算电机功率,可以为电机选型提供可靠依据,确保机械传动系统的稳定、高效运行。

销售客服1号